A partir do próximo dia 10 de janeiro os usuários da BR-364, principal via de acesso do Estado de Rondônia ao Sul do Brasil, entra em vigor a cobrança de pedágio na rodovia federal. Em reunião deliberativa realizada na última terça-feira (30.12.26), a Agência Nacional de Transportes Terrestres (ANTT), autorizou o início da cobrança de pedágio eletrônico em sistema de livre passagem — o free flow — e aprovou o reajuste da Tarifa Básica de Pedágio (TBP) nos trechos concedidos à Concessionária de Rodovia Nova 364 S.A. O reajuste foi de 9,55%.
Veja os valores autorizados na reunião da última terça-feira, conforme apurou o site Valor&MercadoRO:


Valores bem superiores do que foi exposto
Conforme apurou o site, os valores de pedágio apresentados na exposição da Rota do Agro, ocorrido em 2024, são bem diferentes do homologado após o reajuste. Na época, a site Valor&Mercado RO trouxe os valores apresentados. O documento informava que os valores poderiam ser reduzidos, o que não ocorreu. Confira o que foi apresentado na época do edital do leilão:


O plano de Outorga para a concessão dos lotes CN5 foi aprovado pelo Ministério dos Transportes, conforme Portaria nº 144, de 09 de fevereiro de 2024, sendo a documentação enviada ao Tribunal de Contas da União (TCU) e aprovação do lote rodoviário Rota Agro Norte se deu pelo Tribunal de Contas da União, em 10 de julho de 2024. Eis a íntegra o plano de Autorga.
Como funciona o sistema:
Com o sistema free flow, o motorista não precisa parar. Não há cancelas nem filas. A passagem do veículo é registrada automaticamente por pórticos instalados ao longo da rodovia, o que torna a viagem mais rápida, contínua e segura, reduz o consumo de combustível e diminui o risco de acidentes.
A autorização contempla sete pontos de cobrança na BR-364/RO: Candeias do Jamari, Cujubim, Ariquemes, Ouro Preto do Oeste, Presidente Médici e Pimenta Bueno (em dois trechos).
Concessionária antecipou obra para iniciar cobrança
O contrato de concessão previa até um ano para a conclusão dos chamados trabalhos iniciais, etapa obrigatória antes do início da cobrança. No entanto, a concessionária antecipou a entrega das obras e serviços exigidos, o que permitiu a análise técnica e a autorização em prazo menor.
A ANTT realizou vistorias presenciais e análise documental detalhada, concluídas em 18 de dezembro de 2025. Todos os itens avaliados — pavimento, sinalização, sistemas operacionais, tecnologia de cobrança, atendimento ao usuário e estruturas físicas — foram considerados em conformidade. Nenhuma cobrança será iniciada sem que todas as exigências tenham sido integralmente atendidas. A autorização segue a Lei nº 10.233/2001, o Contrato de Concessão do Edital nº 06/2024 e o 1º Termo Aditivo, que substituiu as praças físicas pelo pedágio eletrônico.
Veja como foi calculado o reajuste de 9,55%
O reajuste da Tarifa Básica de Pedágio segue regra contratual e utiliza o Índice de Reajustamento Tarifário (IRT), com base no IPCA. Foi aplicada a variação acumulada entre novembro de 2023 e novembro de 2025, resultando em um reajuste de 9,55%.
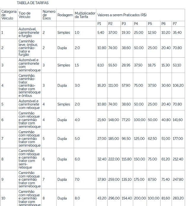
Para automóveis, caminhonetes e furgões (categoria 1), os valores definidos são:
R$ 5,40 – Candeias do Jamari
R$ 37,00 – Cujubim
R$ 19,30 – Ariquemes
R$ 25,00 – Ouro Preto do Oeste
R$ 12,50 – Presidente Médici
R$ 10,20 – Pimenta Bueno
R$ 35,40 – segundo trecho de Pimenta Bueno
Motocicletas, ambulâncias, veículos oficiais e do Corpo Diplomático permanecem isentos, conforme previsto contratualmente.
Pedágio Eletrônico
O pagamento poderá ser feito pelo site https://pedagioeletronico.nova364.com / aplicativo da concessionária (Nova 364 – gratuito) ou em totens instalados nas bases de atendimento ao usuário.
O sistema permite o cadastro do veículo, consulta de valores por placa e acompanhamento das passagens. O pagamento deverá ser realizado em até 30 dias após a passagem pelo pórtico. Usuários com tag terão descontos automáticos. Há também desconto progressivo para usuários frequentes. Em caso de dúvidas, o atendimento está disponível pelo telefone 0800 0364 364.
Cobrança indevida
Não. O sistema conta com múltiplas camadas de verificação para garantir a precisão das cobranças. Caso o motorista identifique qualquer inconsistência, há canais diretos de atendimento para esclarecimento e correção.
A autorização do free flow na BR-364 representa um avanço tecnológico aliado à responsabilidade pública. A ANTT seguirá acompanhando de forma permanente a operação, fiscalizando o cumprimento das obrigações contratuais e protegendo os direitos dos usuários.

O objetivo é promover uma rodovia cada vez mais segura, tráfego mais fluido e informação acessível para todos, especialmente idosos, pessoas com deficiência e usuários que precisam entender, com facilidade, como funciona o novo sistema. A BR-364 avança — e a ANTT segue presente, regulando, fiscalizando e cuidando de quem passa por ela.
Multas de trânsito na implantação
Na última semana do ano, o Ministério Público Federal enviou recomendação preventiva à (ANTT), à Secretaria Nacional de Trânsito (Senatran) e à concessionária Nova 364 contra a aplicação de multas de trânsito a motoristas que deixarem de pagar a tarifa do pedágio eletrônico “free flow”, em fase final de implantação na BR-364, em Rondônia, no trecho entre Porto Velho e Vilhena, com cerca de 700 quilômetros.
Segundo o MPF, a penalidade prevista no artigo 209-A do Código de Trânsito Brasileiro (CTB), que considera infração grave deixar de pagar pedágio quando houver sinalização, é juridicamente controversa no caso do sistema free flow. Para o órgão, a cobrança deve ser tratada como questão de natureza civil, com base no Código de Defesa do Consumidor (CDC), e não como infração de trânsito.
Fonte: Redação Valor&Mercado RO com informações da ANTT
Texto: Marcelo Freire
190 Online Reportagens Policiais do Estado de Rondônia
















